| Номер по каталогу. | наименование товара | Спецификация |
| CRH00-1101 | Набор кПЦР ResiQuant® E.coli ДНК (Taqman) | 50 тестов |
| CRH00-1102 | Набор кПЦР ResiQuant® E.coli ДНК (Taqman) | 100 тестов |
Обзор продукта
Набор кПЦР ResiQuant® E.coli ДНК (Taqman) представляет собой систему на основе количественной ПЦР (кПЦР), предназначенную для чувствительного и специфичного обнаружения ДНК клетки-хозяина из бактерий E.coli, используемых в производстве биотерапевтических препаратов. Система обеспечивает надежное и быстрое количественное определение, гарантируя стабильные результаты для различных типов образцов — от промежуточных продуктов с разными матрицами до готовой продукции.
Готовые к использованию стандарты: не требуют дополнительной подготовки для каждого анализа;
Точность: стандарты ДНК имеют прослеживаемость к соответствующим национальным стандартам (NIFDC);
Отсутствие контаминации аэрозолями ПЦР: в состав реагентов для амплификации включена система UNG (урацил-ДНК-гликозилаза);
Контроль качества: встроенная система внутреннего контроля (IC) повышает качество анализа за счет выявления ингибирования ПЦР.
Технические характеристики и данные
| Количественный диапазон | от 300 пг/мкл до 3 фг/мкл | Условия хранения | От -40°C до -18°C |
| Процент извлечения | 70%~130% | Условия транспортировки | Сухой лед |
| Метка или краситель | FAM | Клетка-хозяин | Кишечная палочка |
| Метод ПЦР | кПЦР | Срок годности | 12 месяцев |
| Метод детекции | Праймеры и зонд | Количество тестов | 50/100 реакций |
| Рекомендуемое оборудование | ABI 7500, Agilent MX 3000P, Bio Rad CFX-96 | Включает в себя | Только набор для анализа |
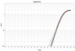
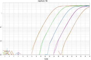
FAM:
| HEX/VIC:
| Стандартная кривая:
|
Документы
MSDS_CRH110X

Брошюра_отличный набор для Пробы_250620

РУКОВОДСТВО ПОЛЬЗОВАТЕЛЯ_CRH110X

Приложения
СОПУТСТВУЮЩИЕ ТОВАРЫ